Các anh ơi, cho em hỏi hệ thống MIMO của em, nếu em muốn điều khiển PID hoặc PI thì tìm hệ số Ki, Kp, Kd như thế nào a?
Hệ thống gồm 2 bồn nước nối với nhau. 2 bơm cấp nước cho 2 bồn. 2 cảm biến đặt ở 2 bồn để đọc chiều cao về. HÌnh bên dưới ạ.

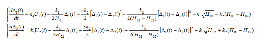
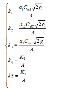
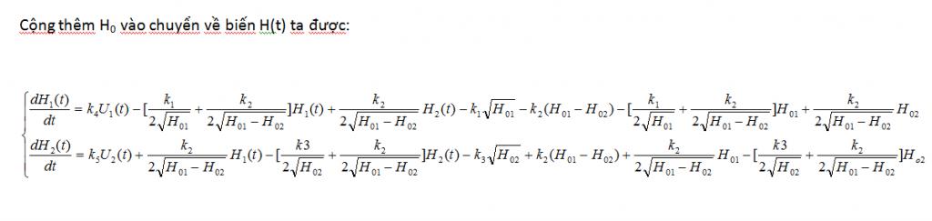
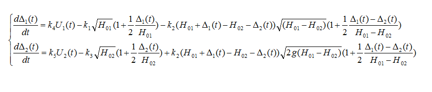
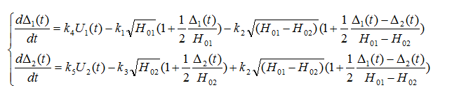
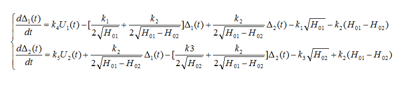
Phương trình của hệ thống :

Em muốn đk PID để đkhiển 2 bơm sao cho độ cao nước 2 bồn đạt giá trị đặt.
Hệ thống gồm 2 bồn nước nối với nhau. 2 bơm cấp nước cho 2 bồn. 2 cảm biến đặt ở 2 bồn để đọc chiều cao về. HÌnh bên dưới ạ.
Phương trình của hệ thống :
Em muốn đk PID để đkhiển 2 bơm sao cho độ cao nước 2 bồn đạt giá trị đặt.
. Mình nghĩ là biến đổi Laplace của bạn đúng rồi đó. Bạn biết Simulink ko? giờ tới bước mô phỏng hệ thống để kiểm chứng.
Comment