Thông báo

Collapse
No announcement yet.

[xin tài liệu] [ARM cortex-M3 TI] Trình dịch, tài liệu, project

Collapse
X
 
  • Lọc
  • Giờ
  • Show
Clear All
new posts

  • #16
    Mình vào rồi, sao không thấy bạn nhỉ, bạn gửi giúp mình cái link đó được không, nếu bạn down được rồi úp giúp mình nhé. tks
    Đối với Tôi Đam mê là yếu tố không thể thiếu để quyết định sự Thành Công ...!
    Gmail: -Mobile: 0989.194.472

    Comment


    • #17
      đây bạn StellarisWare.rar

      Comment


      • #18
        Bạn nào rành về ngôn ngữ C thì giúp mình với.
        Mình cũng đang làm dự án về DSP của TI. Nó sử dụng ngôn ngữ C (code composer studio) để lập trình. Mà phần này mình chưa có khái niệm cơ bản về nó. Mình tìm tài liệu mà không thấy chỗ nào nó nói rõ cả.
        Code:
        void clarke_calc(CLARKE *v)
        {	
        
           v->Alpha = v->As;
        
           v->Beta = _IQmpy((v->As + _IQmpy(_IQ(2),v->Bs)),_IQ(0.57735026918963)); // 1/sqrt(3) = 0.57735026918963
         
        }
        Ví dụ mình có một đoạn code của phép biến đổi Clarke đơn giản này thôi. Trong đó nó sử dụng các dấu
        "->", trước ký tự có dấu "_" .. các dấu này có ý nghĩa gì vậy?
        Bạn nào có tài liệu nói về nó chia sẻ cho mình xin với. Cám ơn nhiều.

        Comment


        • #19
          v là biến con trỏ của cấu trúc CLARKE

          Alpha là 1 thành phần trong cấu trúc CLARKE

          Để truy xuất thành phần ALpha ta dùng cú pháp:

          v->Alpha.

          Đấu "_" không thuộc về cú pháp, nó đơn thuần là 1 ký tự người ta đặt ra để tiện cho việc phân biệt, dễ nhìn mà thôi.

          Lùng bùng quá phải không, dân lập trình tối thiểu phải biết C, nếu ko biết là một thiệt thòi mất mát lớn đấy.

          Chúc bạn học tốt ở ngôn ngữ này.

          Comment


          • #20
            Nguyên văn bởi thanh87 Xem bài viết
            v là biến con trỏ của cấu trúc CLARKE

            Alpha là 1 thành phần trong cấu trúc CLARKE

            Để truy xuất thành phần ALpha ta dùng cú pháp:

            v->Alpha.

            Đấu "_" không thuộc về cú pháp, nó đơn thuần là 1 ký tự người ta đặt ra để tiện cho việc phân biệt, dễ nhìn mà thôi.

            Lùng bùng quá phải không, dân lập trình tối thiểu phải biết C, nếu ko biết là một thiệt thòi mất mát lớn đấy.

            Chúc bạn học tốt ở ngôn ngữ này.
            Cám ơn bạn rất nhiều. Nếu được nhờ bạn trợ giúp mình một chút nhé.
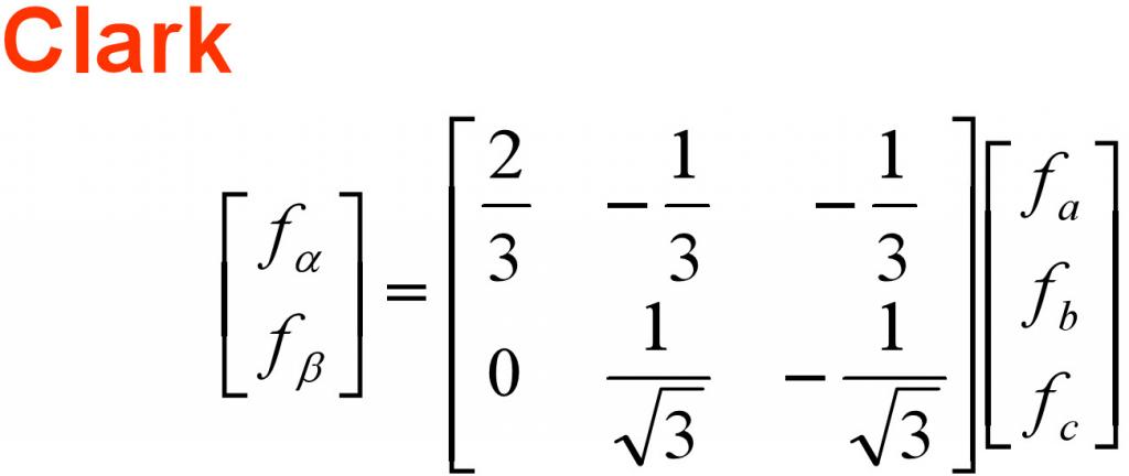
            Công thức của phép biến đổi Clark như sau:
            Click image for larger version

Name:	Clark.jpg
Views:	1
Size:	28.0 KB
ID:	1354702
            Còn đây là toàn bộ đoạn code của phép biến đổi clark.
            Code:
            /*=====================================================================================
             File name:        CLARKE.C  (IQ version)                  
                                
             Originator:	Digital Control Systems Group
            			Texas Instruments
            
             Description:  Clarke Transformation                   
            
            =====================================================================================
             History:
            -------------------------------------------------------------------------------------
             04-15-2005	Version 3.20
            -------------------------------------------------------------------------------------*/
            
            #include "IQmathLib.h"         // Include header for IQmath library
            // Don't forget to set a proper GLOBAL_Q in "IQmathLib.h" file
            #include "dmctype.h"
            #include "clarke.h"
            
            void clarke_calc(CLARKE *v)
            {	
            
               v->Alpha = v->As;
            
               v->Beta = _IQmpy((v->As + _IQmpy(_IQ(2),v->Bs)),_IQ(0.57735026918963)); // 1/sqrt(3) = 0.57735026918963
             
            }
            Trong đó _IQmpy là một hàm nhân (hỗ trợ bởi thư viện)
            Mình hoàn toàn không thể hiểu được từ công thức ở trên mà sao lại ra được cái đoạn code này. Cám ơn bạn lần nữa nhé.

            Comment


            • #21
              Bác nào đã làm về ngắt, timer với LM3S8962 cho em hỏi chút về cách khai báo và dùng nó. Tks all
              Đối với Tôi Đam mê là yếu tố không thể thiếu để quyết định sự Thành Công ...!
              Gmail: -Mobile: 0989.194.472

              Comment


              • #22
                Phép nhân ma trận trê có thể triển khai như sau:

                f alpha = 0.67fa - 0.33fb - 0.33fc
                f beta = 0.57fb - 0.57fc

                Nhìn đoạn code trên ta không thể hình dung được theo cách triển khai này, bạn cần tìm hiểu thêm các hàm macro _IQmpy() và _IQ() để xem cách thức chạy nó như thế nào

                Comment


                • #23
                  sau khi tìm hiểu 2 con LM3S8962 và LM3S9b96 thì mình nhận thấy một điều là hai dòng này có cấu trúc hoàn toàn ngoại trừ dòng LM3S9b96 có thêm USB và I2S. việc dùng nó là như nhau nhưng không biết các bạn làm về ngắt timer có bị hiện tượng ngắt MATCH không sử dụng được ở dòng LM3S9b96. mình dùng nó nhưng không sử dụng được còn ngắt tràn timer thì ok. bạn nào làm rồi thì có thể chia sẻ kinh nghiệm không.

                  Comment


                  • #24
                    @trinhtuan89: mail/ nick yahoo của bạn?có gì gửi cho mình vào mail ở chữ kí nhé, mình cũng đang nghiên cứu về LM3S8962. Có gì cùng trao đổi, tks
                    Đối với Tôi Đam mê là yếu tố không thể thiếu để quyết định sự Thành Công ...!
                    Gmail: -Mobile: 0989.194.472

                    Comment

                    Về tác giả

                    Collapse

                    thiennv0109 Tìm hiểu thêm về thiennv0109

                    Bài viết mới nhất

                    Collapse

                    Đang tải...
                    X