Để trao đổi riêng, vui lòng dùng chức năng Tin nhắn.
Thông báo
Collapse
No announcement yet.
Mô hình băng tải - PLC S7-200/300
Collapse
This topic is closed.
X
X
-
-
Góp ý: Đảo chiều thì dùng mạch đảo chiềuNguyên văn bởi dientu870152 Xem bài viếtĐảo chiều thì dùng 2 động cơ riêng hay dùng mạch đảo chiều ?
Ai có mạch nào tham khảo chỉ em với. Thanks
Hồi giờ chưa thấy 2 động cơ riêng
Comment
-
Bạn hãy xác định rõ kích thướt của sản phẩm mà bạn muốn làm đè tài ntn? để dùng sensor cho hợp lý, nếu sp của bạn có cấu tạo vật liệu là nhựa hay giấy thì nên dùng quang sensor,còn vật liệu là sắt thì nên dùng sensor từ, còn cách phân biệt sp to hay nhỏ thì bạn bố trí sensor, và lắp một mạch điện so sánh bằng cổng logic, vd: sp nhỏ đi qua bố trí sensor 1 nhận được tín hiệu, sensor 2 không nhận được tín hiệu, như vậy là ta có mức 1 và mức 0 rồi, đưa về mạch so sánh sẽ điều khiển, sp lớn đi qua cả 2 sensor đều nhận, thì ta có mức 1,1 rồi , tôi gợi ý cho bạn như vậy đó còn cách lắp thì tự bạn thiết kế thì sau này mới giỏi còn nhờ người khác tk thì không khá lên nổi đâu. chúc bạn thành công!
Comment
-
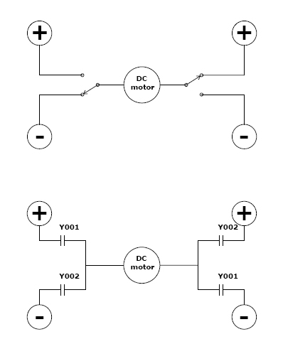
Động não đi, kêu la mãi!Nguyên văn bởi dientu870152 Xem bài viếtThanks. Cái y001, y002 là gì thế ?
Còn cái công tắc thay bằng transistor phải không ?
Anh chị có mạch nào cụ thể tí không (có giá trị rồi á)
Em tự design thì chết mất
Sơ đồ rõ ràng thế mà vẫn kêu la!
Nếu dùng PLC điều khiển 2 cái tiếp điểm relay thứ nhất là Y001 đóng lại, 2 cái tiếp điểm relay thứ 2 là Y002 mở, thì có phải là dòng điện chạy từ + qua Y001 qua Motor qua Y001 đến -, làm ch motor quay hay không?
Lý luận tương tự, Y001 mở, Y002 đóng, motor quay theo chiều ngược lại!








Nếu cứ kêu la om sòm như thế thì không ai giúp đâu!
Comment
-
Cái này tôi chỉ gợi ý!Nguyên văn bởi dientu870152 Xem bài viếtEm la tận 3 trang rồi mà chưa có gì nè. Cám ơn bác...
Phần động cơ đã ổn, còn cái cảm biến...
Bạn phải tự thân vận động.
Trong hình là cảm biến công nghiệp.
Tài liệu thì trong file đính kèm post ở trước.
Cảm biến này bạn có thể tự làm bằng quang trở, photo transitor.....






Comment
-
ông bạn giúp thì giúp cho tới nơi tới chốn chứ!
Mình góp ý tí chút nhé,về phần cảm biến,bạn nên dùng loại cảm biến tiệm cận hoặc cảm biến hồng ngoai(Nhưng mà hơi đắt đó)
nếu muốn tiết kiệm thì dùng photo diot, dùng một con thu một con phát
còn muốn tiết kiệm hết cỡ thì tự chế một tiếp điểm như là một cái công tắc ấy(tạm gọi là công tắc hành trình)cho nguồn vào và đầu vào của plc
hihihi, đảm bảo chạy ngon nhưng mà không đẹp lắm
chúc bạn thành công!|
Comment
Bài viết mới nhất
Collapse
-
Trả lời cho Nên mua máy phay CNC cũ, máy mới phổ thông hay máy chất lượng cao? Góc nhìn từ bài toán sản xuất thực tếbởi nguyendinhvanNgày trước, khi KT đang tăng trưởng, một cái máy tự động cũ tầm trung, thì khoảng 5 năm là hoàn vốn. Nhưng hiện tại, mọi việc đều chậm trễ, cạnh tranh, nên theo các xếp tính thì phải hơn 10 năm làm việc ngon lành thì mới hoàn vốn....
-
Channel: Máy công cụ
Hôm qua, 20:23 -
-
Trả lời cho cách làm led Hao Quang.có pro nào biết k nhỉ ???bởi StatusHello! I'm from Kazakhstan. Can anyone share the HEX file with me? The download link in post 50 doesn't work.
-
Channel: Vi điều khiển họ 8051
18-12-2025, 00:05 -
-
bởi mylinhattChào anh em cơ khí,
Trong quá trình tư vấn đầu tư thiết bị cho xưởng, mình gặp rất nhiều câu hỏi kiểu: “Nên mua máy phay CNC cũ để tiết kiệm, chọn máy mới phổ thông cho yên tâm, hay cố gắng lên máy chất lượng cao để làm hàng khó?”. Thực tế, đây không phải câu hỏi chỉ về...-
Channel: Máy công cụ
17-12-2025, 13:38 -
-
Trả lời cho Vấn đề về tốc độ quaybởi nguyendinhvanSử dụng động cơ servor, hoặc lắp thêm một cái encoder vào động cơ bước. Encoder sẽ kiểm soát động cơ có quay hoặc đứng im.
-
Channel: Điện tử truyền hình
14-12-2025, 19:50 -
-
bởi Andrea14Chào mọi người,
Tôi muốn mô phỏng sự thay đổi các mùa bằng cách từ từ nghiêng một quả địa cầu 16 inch bằng một động cơ bước nhỏ. Một động cơ bước khác sẽ quay quả địa cầu theo thời gian thực. Hệ thống truyền động...-
Channel: Điện tử truyền hình
12-12-2025, 12:42 -

Comment