Gửi các bạn bài mình giải động học cho cái tay máy do bạn ToanThang88 đã đưa trong luồng "E-Book về Robotics" (http://dientuvietnam.net/forums/showthread.php?t=2108) . Các bạn xem có sai hay có gì phải sửa không.
To ToanThang88: bài này mình giải bằng các đặt hệ trục toạ độ theo phương pháp đã biến đổi (hệ toạ độ i được đặt trên trục i) thay vì dùng phương pháp chính tắc (hệ toạ độ i đặt trên trục i-1). Đồng thời dùng Maple10 để tính toán, nhân chia ma trận, rút ngắn thời gian tự mình ngồi tính. :-)
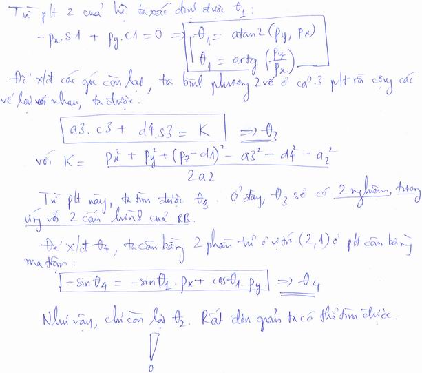
Một câu hỏi đặt ra: Tại sao trong này, từ phương trình T=A01*A12*A23*A34, ta lại nên nhân 2 vế với nghịch đảo của A01 mà ko phải là nghịch đảo của ma trận khác? Đây là điểm mấu chốt để giải động học ngược của bất kỳ một Robot nào.
To ToanThang88: bài này mình giải bằng các đặt hệ trục toạ độ theo phương pháp đã biến đổi (hệ toạ độ i được đặt trên trục i) thay vì dùng phương pháp chính tắc (hệ toạ độ i đặt trên trục i-1). Đồng thời dùng Maple10 để tính toán, nhân chia ma trận, rút ngắn thời gian tự mình ngồi tính. :-)
Một câu hỏi đặt ra: Tại sao trong này, từ phương trình T=A01*A12*A23*A34, ta lại nên nhân 2 vế với nghịch đảo của A01 mà ko phải là nghịch đảo của ma trận khác? Đây là điểm mấu chốt để giải động học ngược của bất kỳ một Robot nào.
.
Comment