Em thấy rằng ai cũng ngán cuộn dây hết. Nghe biểu 4 vòng thì hay là 4 vòng, 10 vòng cũng thế, chẳng biết đúng hay sai nữa, huhu. Toàn làm như "mù đi đêm" thôi, các anh ạ.
Em mong mỏi anh Quế Dương và các anh khác làm ơn cho công thức tính toán cho việc quấn cuộn dây lõi không khí.
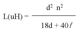
Dạo trước em được học một công thức tính, ghi vô máy (sơ lược thôi, làm cơ sở để chỉnh lõi ý mà) từ số vòng cuộn dầy, tiết diện cuộn dây và chiều dài cuộn dây. Có công thức này, em tính gần đúng trước, sau đó thực hiện cuộn dây rồi chỉnh, rất ít mất thời gian. Nhưng máy em bị hư Windows, phải format cài lại, mất tiêu. hic hic. . .
Cám ơn anh Quế Dương trước lắm lắm ...
Lan Hương
Em mong mỏi anh Quế Dương và các anh khác làm ơn cho công thức tính toán cho việc quấn cuộn dây lõi không khí.
Dạo trước em được học một công thức tính, ghi vô máy (sơ lược thôi, làm cơ sở để chỉnh lõi ý mà) từ số vòng cuộn dầy, tiết diện cuộn dây và chiều dài cuộn dây. Có công thức này, em tính gần đúng trước, sau đó thực hiện cuộn dây rồi chỉnh, rất ít mất thời gian. Nhưng máy em bị hư Windows, phải format cài lại, mất tiêu. hic hic. . .
Cám ơn anh Quế Dương trước lắm lắm ...
Lan Hương

Comment